Elliptical Fourier Analysis in R

Tutorial developed by Niksoney A. Mendonça

This tutorial explains how to perform Elliptical Fourier Analysis (EFA) using the Momocs package in R. It includes data import, harmonics calibration, PCA and LDA — applied to eight fern species with both fertile and sterile leaves.

Step 1 - Load required packages

# Load necessary libraries
library(readxl)      # For reading Excel files
library(Momocs)      # For morphometric analysis
library(tidyverse)   # For data manipulation
library(ggplot2)     # For advanced plotting

Step 2 - Define colors and set working directory

# Define 8 colors for the 8 species in this study
my_colors <- c("#E69F00", "#56B4E9", "#009E73", "#F0E442", 
               "#0072B2", "#D55E00", "#CC79A7", "#555555")

# Set working directory to folder containing data files
setwd("C:/Users/nikso/OneDrive/Vida acadêmica e pessoal - Niksoney/MORFOMETRIA GEOMÉTRICA - (MG)/_Oultine")

Step 3 - Read coordinates and species info

# List all text files containing coordinate data
lf <- list.files("Coordenadas_fourier_estéril/", pattern = "\\.txt$", full.names = TRUE)

# Read Excel file with species names and individual identifiers
spp_names <- read_xlsx("Coordenadas_fourier_estéril/tabelaoutline_esteril.xlsx")

# View unique species names
unique(spp_names$especie)
Screenshot of coordinate files and Excel data structure
Figure 1: Structure of coordinate files and metadata spreadsheet

Step 4 - Build shape object

# Import coordinate data from text files
lf_coord <- import_txt(lf)

# Reorder coordinates to match Excel file order
lf_coord <- lf_coord[spp_names$individuo]

# Assign species names to coordinate objects
names(lf_coord) <- spp_names$especie

# Create factor variable for each individual
lf_fac <- as.data.frame(names(lf_coord))
names(lf_fac)[1] <- "Type"
lf_fac$Type <- as.factor(lf_fac$Type)

# Create Momocs Out object
lf_out <- Out(lf_coord, fac = lf_fac)

Step 5 - Visualize shapes and harmonics

# Save mean shapes plot
png("Imagens_prontas/formas_médias_esteril.png", width = 10, height = 8, units = "in", res = 300)
formas_gerais <- panel(lf_out, fac="Type", names=TRUE)
dev.off()

# Visualize contour stacks
stack(coo_center(lf_out),
      palette = col_summer,
      fac = lf_out$Type,
      title = "Stack of outlines from all individuals",
      subtitle = paste("Relação entre Área e Comprimento dos Contornos das Folhas"))

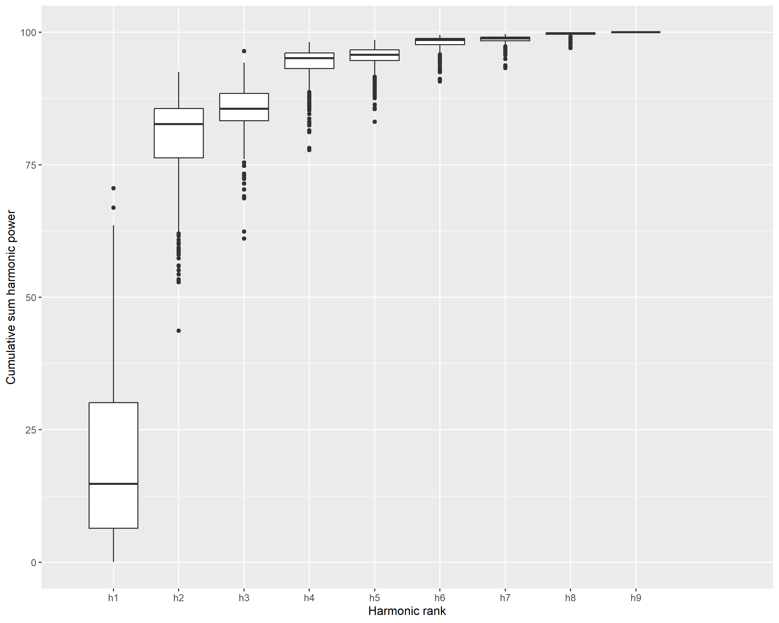
# Determine optimal number of harmonics
png("Imagens_prontas/harmonicos_esteril.png", width = 10, height = 8, units = "in", res = 300)
harmonics_info <- calibrate_harmonicpower_efourier(lf_out, 
                                                 nb.h = 10, 
                                                 drop = 1,
                                                 thresh = c(80, 90, 95, 99, 99.9),
                                                 plot = TRUE)
dev.off()
Mean shapes visualization
Figure 2: Average shapes by species
Contour stack plot
Figure 3: Centered contour stack
Harmonic calibration plot
Figure 4: Harmonic calibration (cumulative variance)

Step 6 - Run EFA

# Perform Elliptical Fourier Analysis
lf_fou <- efourier(x = lf_out,    # Shape coordinate data
                   nb.h = 8,      # Number of harmonics (from calibration)
                   norm = FALSE)   # No normalization

Step 7 - PCA and LDA analysis

# Principal Component Analysis
png("Imagens_prontas/pca_esteril_sproces.png", width = 10, height = 8, units = "in", res = 300)
lf_pca <- PCA(x = lf_fou, fac = lf_fou$fac)
plot_PCA(x = lf_pca, f = lf_pca$Type, palette = pal_manual(my_colors, transp = 0))
dev.off()

# Linear Discriminant Analysis
png("Imagens_prontas/lda_esteril_sproces.png", width = 10, height = 8, units = "in", res = 300)
lf_lda <- LDA(x = lf_fou, fac = lf_fou$Type)
plot_LDA(x = lf_lda, palette = pal_manual(my_colors, transp = 0))

# Check LDA accuracy
lf_fou %>% LDA(~Type) # 48% accuracy
dev.off()
PCA results plot
Figure 5: Principal Component Analysis (PCA)
LDA results plot
Figure 6: Linear Discriminant Analysis (LDA)

Pro Tips

Step 3: In the next step, remember to create an excel.xlsx file, in which one column must contain the same names as the species coordinate files.

Image resolution: Use 300 DPI for publication-quality figures.

Accessibility: Always include descriptive alt text for images.